Prof. P.C. Thomas Classes Logo
Home›NEET›Physics›Electrostatic Potential and Capacitance›Energy Stored in a Capacitor

Energy Stored in a Capacitor

NEET • Physics • Electrostatic Potential and Capacitance

Prof. P.C. Thomas Classes

COURSES

  • JEE
  • NEET
  • KEAM
  • CBSE

Quick Links

  • App Link
  • Login
  • About
  • Blogs
  • Course Enquiry

CONTACT

+91-9656676695, +91-6238149280

contact@professorpcthomas.com

Prof. P.C.Thomas Classes, East Fort, Keerankulangara, Thrissur, Kerala 680005

© 2026. All rights reserved.

Showing 10 of 21 questions

Q1
MCQMedium#View Details
A
B
C
D
Source: PYQYear: 2024
Q2
MCQMedium#View Details
A
B
C
D
Source: PYQYear: 2025
Q3
MCQMedium#View Details
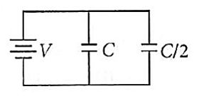
Question image
A
B
C
D
Source: Improvement Book
Q4
MCQHard#View Details
A
B
C
D
Source: Improvement Book
Q5
MCQMedium#View Details
A
B
C
D
Source: Improvement Book
Q6
MCQMedium#View Details
A
B
C
D
Source: Improvement Book
Q7
MCQMedium#View Details
A
B
C
D
Source: Improvement Book
Q8
MCQMedium#View Details
A
B
C
D
Source: Improvement Book
Q9
MCQEasy#View Details
A
B
C
D
Source: Improvement Book
Q10
MCQHard#View Details
A
B
C
D
Source: Improvement Book
1–10 of 21